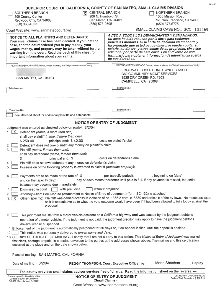
Civil penalty assessed against Edgewater Isle
Acting outside of the Edgewater Isle Association Bylaws, the Edgewater Isle board of directors (Sheryl Mallett, Milena Marsico, Bob Mosblech, Peter Tocchini, Sue Bianco, and Kelly McGuirk) decided they would not provide me with the membership roster of the Association. The Association's bylaws provide the roster to a member upon request.
Association was assessed civil penalty for failure to provide roster under California Civil Code § 1365.2
Edgewater Isle is not alone in being obstinate: other HOAs are just as difficult.

November 19, 2003
Board sent a letter to homeowners, and includes a letter from Association attorney Kevin Frederick "Re: Restated Declaration and Bylaws."
Neither letter from BOD nor Summary from Attorney do not include change in requirement to have management company located in the same county but do say that "major changes" have been included. (Requirement of management company in same county was in Bylaws since their inception.)
December 31, 2003
Homeowners received a letter, dated January 2, 2004, asking us to vote on CC & Rs, with a recommendation to vote "yes" and a statement that non-voters will be fined $55.00
January 1, 2004
I sent an email to Management Company and Board of Directors re questions about voting on bylaws and c c & rs. Wish to be able to vote on each change instead of "all or nothing" approach.
January 2, 2004
I sent in certified mail requesting copy of membership roster. I state I wish to use membership roster "to communicate with owners about proposed changes to C C & Rs and Bylaws."
January 5, 2004
Vice President Milena Marsico replied to my December 31, 2003 email, saying documents have to be voted on as a whole
January 6, 2004
Management company replied to my request for membership roster. Board has denied my request for membership roster, citing "privacy."

January 9, 2004
Request for ADR as access to membership roster is allowed under Association's Bylaws.
January 24, 2004
Homeowners received flyer from Association that new Bylaws have passed, C C & Rs have not, reminding of $55.00 fine for not voting
January 26, 2004
I filed complaint in Superior Court of California, Small Claims Division, under California Civil Code 1365.2 for Association denying me access to membership roster.
January 28, 2004
I received letter from Association Attorney Kevin Frederick, saying Association will honor my request for membership roster under California Corporations Code 8330. I would have to agree to (outrageous) mailing costs.
February 4, 2004
I received letter from Peninsula Conflict Resolution Center. Letter describes procedures, states my half of costs are $150. I mailed a check for $150 on February 5.
February 5, 2004
I sent letter to Superior Court, San Mateo County, to amend Small Claims case to add the $150 for mediation charges.
February 6, 2004
Peninsula Conflict Resolution Center contact called me: Attorney for Association has asked if I will drop the case if they give me the membership roster. I asked that they put it in writing.
February 11, 2004
Association Attorney Kevin Frederick sent letter enclosing membership list, 40 days after receipt of request. California Civil Code 1365.2 allows 10 days to reply. (Membership list is not complete -- does not contain absentee owners' unit numbers.)
February 11, 2004
I replied to Attorney Kevin Frederick, stating the Association has not offered anything they are not already legally obligated to provide
February 13, 2004
Peninsula Conflict Resolution Center sent letter stating Association has asked that mediation case be closed, refunded costs of $150.
February 17, 2004
I sent (via fax) a letter to Attorney Kevin Frederick, stating that 26% of the names on the roster do not have associated unit addresses, and I expect the complete membership roster.
February 17, 2004
I received a phone call from Superior Court. Superior Court had approved my amendment to Small Claims case, and requested that I have the Association served again, and arrange for new trial date. I explained that since I wrote my February 5 letter to the Court, that the Association has rescinded their agreement to ADR, and my costs have been refunded. Court explained that if I put that in a letter, the original trial date will stand.
February 18, 2004
I sent a letter to Superior Court, requesting the claim amount be reduced to $500 again as the PCRC (mediation center) had refunded me the costs of mediation.
February 24, 2004
I received letter from Court granting my February 18, 2004 request.
February 25, 2004
I received membership roster via Federal Express from attorney Kevin Frederick's office, 51 days after receipt of request, 1 day before Small Claims Trial.
February 26, 2004
Trial held in San Mateo County Superior Court, Small Claims Division. 4 of 6 Board members (Sherry Mallett, Peter Tocchini, Kelly McGuirk, and Milena Marsico) appeared at trial. Vice President Milena Marsico represented Association at trial.
March 2, 2004
Superior Court finds in favor of Plaintiff, orders Homeowners Association (Defendant) to pay civil penalty of $250 plus court costs of $42.

Contact