Failure to Provide Security: Edgewater Isle Resident Stabbed
“On June 10, 1996, George Roensch emptied his bank account of its $3,000.00, purchased [plane] tickets to Chicago, wrote farewell letters to friends and family and went to plaintiff's residence, at the Edgewater Isle Condominiums, to confront plaintiff. Roensch had two box cutters tapped together and he also had a switch blade knife. Roensch stabbed plaintiff numerous times including a slash across plaintiff's throat, a partial laceration of plaintiff's spinal cord resulting in partial paralysis on one side of his body and the opposite side of his face, and other lacerations.”
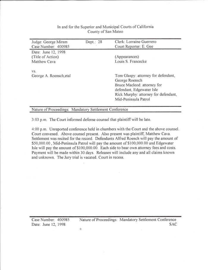
Source: court documents
The victim and defendant had been friends since childhood. The victim suffered critical injuries in the attack and incurred medical expenses amounting to approximately $82,000.00.
On March 21, 1997, defendant George Alfred Roensch, Jr. pleaded nolo contendere to attempted murder. On September 26, 1997, Roensch received a 20-year sentence.
The victim sued Edgewater Isle Master Association on June 10, 1997 for failing to provide adequate security. Edgewater Isle Master Association filed to have the complaint dismissed, but was denied by the court.
On June 12, 1998, Edgewater Isle Master Association reached an out-of-court settlement with the victim for $100,000. The security patrol company also settled for $100,000, while the defendant—the guy who actually did the stabbing—only paid $50,000.



Contact