Edgewater Isle thinks it's OK to leave rat poop in your attic
Kelly McGuirk misrepresents herself to the court
Between January 21 - March 23, 2005, an active rat infestation invaded Building 16 at Edgewater Isle. The rats nested on a water heater and in the attic, resulting in a water heater leak, mold, drywall damage, ruination of carpet, feces and urine-infested attic insulation, and gnawed electrical and telephone wiring. A homeowner attended 11 different meetings attempting resolution of the problem but was met with obstruction by Edgewater Isle North and Master Associations. Homeowner took Associations to small claims court.
Edgewater Isle North Association LOST, but lied to homeowners about it. Edgewater Isle Master Association settled out of court.
History
Homeowner originally complained to management companies about rat droppings in 2003, a full year before the real problem began. Edgewater Isle Master Association's response was for the homeowner to call the pest control company. Not exactly an overwhelming indication of a proactive board of directors nor a management company.
EDGEWATER ISLE MASTER ASSOCIATION
Minutes - Board of Directors Meeting
Monday, October 13, 2003 - Beresford Park - 7:00 PM
HOMEOWNER FORUM
B. .....she was wondering if there had been any complaints about rats. The Board replied no. She said she had a problem with rats. Nick Pargett was asked to supply HOMEOWNER with the contact information for pest control.
Meeting minutes reflect that several other homeowners complained in open forum during board meetings of rat problems. (More info on that to come.)
The first sign that the rats were back was on January 21:
Date: Fri, 21 Jan 2005 06:51:16 -0800 (PST)
From: "XXXXXXXXXXXXXXXX" <xxxxxxxxxxxxxxxxxxxxx.com>
Subject: Edgewater Isle: Squirrels or Rats in Crawl Space
To: mkay@communitymanagement.com, nick@pargett.com
Good morning gentlemen --
In the middle of the night, I was awakened by squirrels or rats in the crawl space above my bedroom. It sounds like there is more than one, and they are digging into the insulation, perhaps nesting.
I don't know if the crawl space can be accessed in my absence, if so, please send an exterminator to do whatever they do, KNOWING I HAVE A DOG.
If the exterminator requires my presence, please let me know.
Regards,
XXXXXXXXXXXXXXXX
In March 2005, Homeowner found rat droppings on the water heater, which is in a closet outside of the townhouse. The outside of the townhouses are common area, owned and maintained by the various Edgewater Isle associations. The association sent a plumber out to deal with the resulting leak from a corroded water heater.


Association's Plumber Said Water Heater Failed Because of Rat Urine
|
Click to play |
The rat urine rusted out the top of the water heater, resulting in the water heater to fail and leak into the adjacent bedroom. The association's plumber, Scott of Southwood Plumbing, gave his opinion of that in this voice mail message he left on March 8, 2005. |
Infestation Continues
Records from the association's vendor Terminix show that Terminix was out to the building several times in early 2005 to deal with the ongoing infestation of Building 16 in Edgewater Isle.


The Associations KNEW OR SHOULD HAVE KNOWN that there were active infestations in the attic of Building 16 of Edgewater Isle. This, along with many complaints from homeowners, put the Associations on notice. But the Associations failed to take preventative steps to keep the rodents out of the attic.
Edgewater Isle North Homeowners Association did nothing to abate the rat infestation in Building 16 of Edgewater Isle: there is no mention of this problem in meeting minutes for February, March, or April 2005.
San Mateo County Health Department Investigates
Upon request of the homeowner, San Mateo County health department investigated the building and sent this letter, which was forwarded on to the Associations.


Proof It Inspects Building, Finds Repairs Not Adequately Completed

Associations Notified of Continuing Problem

Deny, Deny, Deny
The Edgewater Isle Master Association denies all responsibility for any rat infestation, even though they hold the Terminix contract. Master Association did note the problem in its March 2005 meeting minutes, saying the problem had been forwarded to their attorney who denied any responsibility for the problem.
Master Association again discussed the problem in its May 2005 meeting minutes:
The Board reviewed the letter from the Homeowner and discussed the feedback the attorney had provided. The board agreed that it does not have liability for this unfortunate situation and agreed that the draft letter response was appropriate. Nick Pargett will send the letter to the homeowner. Nick Pargett also reviewed what he had done to assist the North Manager in resolving the issue with rats in the building, which is a North issue.


No responsibility? You hold the contract. Here it is. And you kept renewing it and renewing it and renewing it. In fact, they are still the vendor in 2010. And why is the North Association area now not included in the Master Association area? Of course it's part of the Master Association area.

And Here's What Happens When You Ignore Problems
They don't go away. The associations believed a head-in-the-sand approach was the way to go. But it resulted in a continuing problem with rodent infestations. The rats remained in the attic, chewing on electrical and telephone wires.
Why did the Associations not take a proactive approach in sealing the buildings, trimming the trees, cutting back the ivy, and all of the suggestions made by the San Mateo County Health Department? Is a homeowner supposed to live with poison above their head forever?


The homeowner forwarded the photo to the association and went to speak at the next board meeting.
Edgewater Isle North Homeowners Association
Board of Directors Meeting
November 21, 2005
MINUTES
Board Members
Bert Mittler President
Annalee Edwards Vice President
Mimi Lee Secretary
Sheng Chang Treasurer
Ben Cintas Director
CALL TO ORDER –Manager Michael Kay called the meeting to order at 6:35 pm.
OPEN FORUM – xxxxxxxxxxxxxxxxxx presented a request for the Association to pay to remove all of the insulation from the attic; to sanitize the entire area; to replace the insulation; and to repair wiring damaged by rodents. The Board discussed the request. Ben Cintas made a motion to repair the damaged wiring, only. The motion was seconded and carried unanimously.
Actually, the request included an inspection of the entire Building 16 attic, but you know boards of directors: the meeting minutes don't always completely reflect what went on. The board has the opportunity to approve the meeting minutes, not the homeowner.
Regardless, Edgewater Isle North's board of directors unanimously agreed not to inspect an attic they knew had an ongoing rodent infestation. Missing from the meeting minutes above, is Ben Cintas saying that he didn't want to inspect the building's attic because
"I don't want to go on a fishing expedition with association funds."
— Ben Cintas, Director, Edgewater Isle North Association, November 21, 2005
Some people wouldn't call it a fishing expedition but due diligence.
Homeowner Files Small Claims Case
So, having had enough, homeowner filed a claim in Small Claims Court against North and Master Associations to replace the insulation and repair the wiring. The Edgewater Isle North Homeowners Association and the Edgewater Isle Master Owners Association both played games with the small claims case.
Board Member Doris Mosblech Violates Duty
Then Master Association board member Doris Mosblech permitted Kelly McGuirk, a non-board member with a criminal history, to complete the legal forms pertaining to the case. Legal matters for the association are protected by executive session. It appears here that Doris Mosblech violated her duties to the Master Association by discussing the case and allowing Kelly McGuirk to complete the legal forms.
First, homeowner/convicted felon Kelly McGuirk who is no longer on the board of directors but apparently misses being "on the inside," completes the request for the North and Master Associations for a continuance (request to postpone the hearing).

The court granted the continuance.
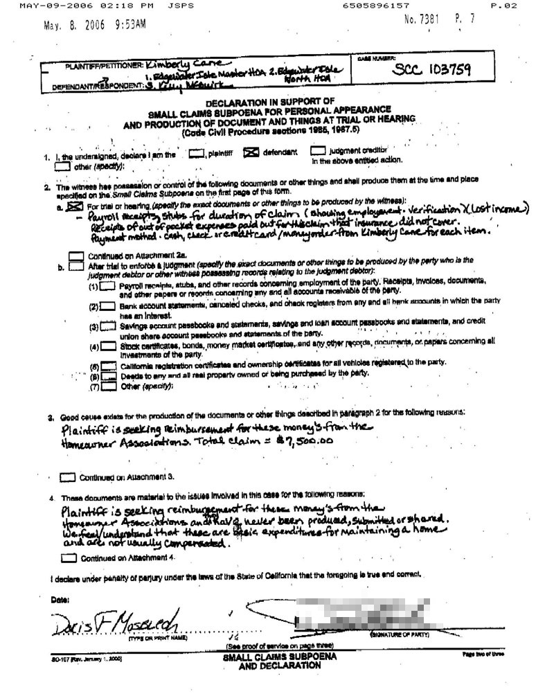
And then, second, the Associations went on their own "fishing expedition" by requesting subpoenas duces tecum ("production of documents and things at trial") to Complete Pest Control and the homeowner's insurance company. But the bomb was that Kelly McGuirk, who has multiple felony convictions for theft, completed the legal forms demanding access to the homeowner's:
- payroll receipts and stubs (showing employment verification and lost income)
- receipts for out of pocket expenses paid out for the claim that insurance did not cover
- payment method: cash, check or credit card/money order
Hum.... a convicted thief wants checking account and credit card information from the homeowner. Too bad we all didn't know about her criminal history at the time.


Well, that's good and all, but if the plaintiff is to win their case anyway, wouldn't they have to prove such things were lost, if in fact, that were the basis of the claim? What a waste of a subpoena, unless the requester had ulterior motives and would later try to claim these documents as her own. OH YES! That's what happened (see below).
And Kelly McGuirk was kind enough to ask the Master Association to send postcards to 324 homeowners to "invite" them to the court hearing.
EDGEWATER ISLE MASTER ASSOCIATION
MINUTES - BOARD OF DIRECTORS MEETING
Monday, May 8, 2006
HOMEOWNER FORUM
1. Kelly McGuirk notified the Master Association that she had been added as a Defendant in the small claims court case of REDACTED vs. Edgewater Isle Master and Edgewater Isle North Associations. She requested homeowners be notified accordingly. The Board confirmed that they would notify homeowners, especially because the date had changed.

How very nice of the HOA to do this. Twice. Especially considering the HOA has failed to do this on a single other court hearing which they have been involved.
On May 30. The Master Association settled out of court with the homeowner when they saw these two documents below:



The North Association was represented by Mimi Lee. The North association made their presentation and included documents that their attorney "certified" were mailed, but of course the homeowner never received these documents prior to the hearing.




Edgewater Isle North admits they own the insulation, yet they won't fix it. They won't let the homeowner fix it because the homeowner doesn't own it. It's a circuitous dilemma. One that is never resolved, just continually avoided by boards of directors who will let you, the homeowner, live with rat feces.
And let's give Michael Kay the benefit of the doubt here because he joined the goings-on of the Association in 2004. How could he possibly be aware of the construction defects lawsuit that Edgewater Isle North filed in 1994? Edgewater Isle North itself says that it knows of water heater leaks and slab curl problems in the foundations and included such problems in their lawsuit against the builder.
Edgewater Isle North Homeowners Association alleged "slab curl" in its 1994 lawsuit:

and then alleges the results of those defects in their 1995 Statement of Claims:

So, Edgewater Isle North Homeowners Association says on the one hand that the slabs are deficient and exhibit "moderate slab curl," they know of the water intrusion problem, yet homeowners are now somehow responsible for the resulting damage when, for whatever reason, a 3 BD unit water heater leaks? Edgewater Isle North Homeowners Association to this day knows or should have known of this slab problem that was never fixed in the reconstruction that began in 2000.
Terminix and Southwood Plumbing "Declare" Their "Expertise"
And the HOA's attorney drew up "declarations" from the very vendors that Edgewater Isle North sent to make remedial repairs in this mess. Michael Kay, property manager, provided declarations from Ariel Barones of Terminix, and Denis O'Halloran of Southwood Plumbing. Since both vendors work for the HOA, is it any surprise of their conclusions? Denis O'Halloran wants to keep income to his small business, and Ariel Barones surely wants to keep his job.


Ariel Barones's "declaration" omits how many times he had been to the attics in Edgewater Isle and how much rat poop he has seen.


But Denis forgot about that voice mail message that his employee Scott Miller left. Scott mentioned Denis in the voice mail.
Judgment

The judge ordered the North Association to clean up the resulting mess and electrical wiring.
Then, Kelly McGuirk, Convicted Felon, Tried to Pick Up The Homeowner Plaintiff's Documents
After the hearing was over and Kelly McGuirk was dismissed, she went to the San Mateo County courthouse 2 weeks later and lied to the Court Clerk and attempted to pickup the homeowner's documents. Why would she try to do this?
Since she had subpoenaed "payroll receipts and stubs," and then went to the Court and attempted to represent herself as the homeowner plaintiff, could she have been intending to commit identity theft? Why would she go to the Court and pretend she is someone else? She already has a long history of sneaky behavior (see here, and here).
|
||||||


Association lied about outcome of the case
As if that's not enough, Edgewater Isle North lied about the outcome of the case to the homeowners. In the July 2006 newsletter, the board of directors who were so intimately involved in the case, Bert Mittler, Ben Cintas, and Mimi Lee lied about the result.

But here's what the judge's ruling said:
RULING: Defendants have until 7/21/06 to deodorize Plaintiff's insulation at Defendant's cost....If Defendant refuses, judgment will be determined within 30 days of Defendant's refusal.
The court outright ignored Edgewater Isle North's request for costs of $200, their requests for dismissal because of supposed "failure to comply" with CCP 116. How could this be "in the Association's favor?" It's a LIE. Edgewater Isle North lost the small claims case.
Edgewater Isle North Homeowners Associations kids themselves that this was about money. Do they really think a $1,500 settlement changes the homeowner's life? No. If it did, they would have accepted your offer to buy this web site's domain name when you made it. It is apparently beyond their collective cognitive abilities to understand a homeowner's desire to have their home kept in good shape.
And after all that, Mimi Lee went and whined to the Master Association about their settling:
EDGEWATER ISLE MASTER ASSOCIATION
MINUTES - BOARD OF DIRECTORS MEETING
Monday, June 12, 2006 - 3 Waters Park Drive, San Mateo -7:00 PM
2. Barbara Finnegan reported that the small claims court hearing took place on May 30. The Master Association settled for $1593 with prejudice. Nick had heard the North had been directed to deodorize
the insulation and have the wiring checked by an electrician. Yesterday, the Board received an e-mail
from Mimi Lee expressing dissatisfaction that the Master had agreed to settle. The Board discussed
that in IDR, the Master had agreed with XXXXXXXX to settle the issue and the Master had decided they would continue to stand behind their offer. D. Mosblech would provide a response to Mimi.
There is no low too low for this board of directors.


Contact